Kompetansebehov

NHO Region - NHO Nordland

3 Kompetansebehov

I dette kapittelet kan du sammenligne NHO Nordland med andre bedrifters svar på spørsmål om kompetansebehov. Dette inkluderer i hvilken grad bedriften har behov for kompetanse innen spesifikke fagområder og utdanningsnivåer, samt årsaker til, og konsekvenser av, kompetansebehovet, og hvilke tiltak bedriften har for å dekke kompetansebehovet.

3.1 Innen hvilke av de følgende fagområder har bedriften behov for kompetanse?

Vi spurte bedriftene om hvilke av de følgende fagområder bedriften har behov for kompetanse innen. Flere valgmuligheter var mulig, og det var mulig å svare “ingen av de overstående”.

I figur 1 følger prosentandelen av bedriftene som har svart de ulike fagområdene for hele utvalget.

N = 138, Figur (PNG), Figurdata (XLSX)

N = 2194, Figur (PNG), Figurdata (XLSX)

Figur 1. Innen hvilke av de følgende fagområder har bedriften behov for kompetanse?.

3.2 I hvilken grad har bedriften behov for personer med følgende utdanningsnivåer?

Vi spurte bedriftene hvilke utdanningsnivåer som er relevante for bedriften, og presenterer her i figur 2 overordnet prosentandel av bedriftene som har svart de ulike utdanningsnivåene for hele utvalget.

N = 138, Figur (PNG), Figurdata (XLSX)

N = 2198, Figur (PNG), Figurdata (XLSX)

Figur 2. I hvilken grad har bedriften behov for personer med følgende utdanningsnivåer?.

3.3 Med utgangspunkt i bedriftens udekkede kompetansebehov, hvilke av følgende påstander passer for bedriften?

De som svarte “I noen grad” eller “I stor grad” på spørsmål om bedriften har et udekket kompetansebehov i dag, ble spurt om årsaker til og konsekvenser av kompetansebehovet, og ble bedt om å krysse av for det som passer best for bedriften. Svarfordelingen vises i figur 3 og figur 4.

N = 81, Figur (PNG), Figurdata (XLSX)

N = 1197, Figur (PNG), Figurdata (XLSX)

Figur 3. Med utgangspunkt i bedriftens udekkede kompetansebehov, hvilke av følgende påstander passer for bedriften?.

For påstanden Søkere mangler de formelle kvalifikasjonene som er nødvendig var det flere som svarte Valgt i målgruppen (0,48) enn blant andre (0,37).

3.4 I hvilken grad har mangel på kompetanse ført til at bedriften har

N = [80–81], Figur (PNG), Figurdata (XLSX)

N = [1176–1189], Figur (PNG), Figurdata (XLSX)

Figur 4. I hvilken grad har mangel på kompetanse ført til at bedriften har.

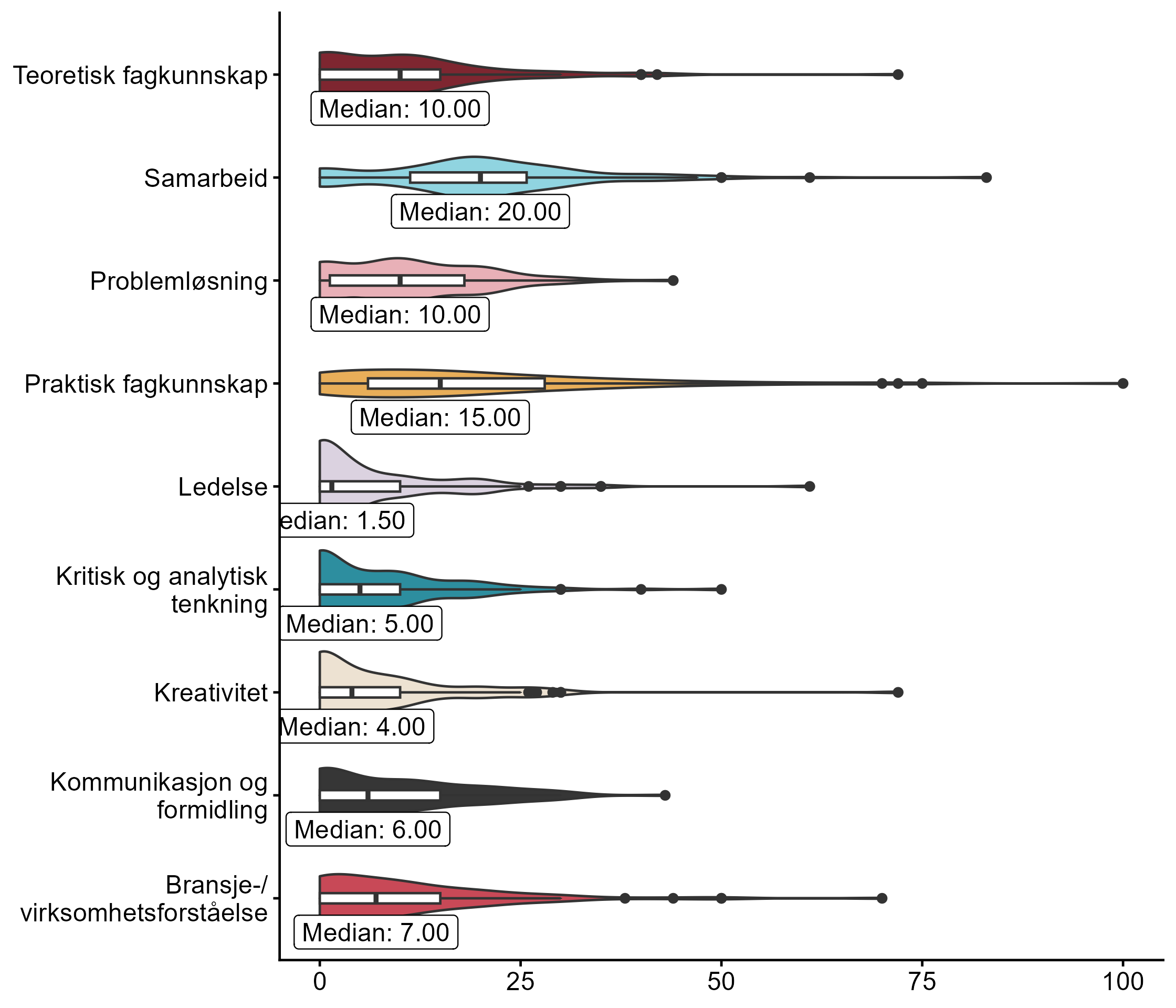
3.5 Tenk deg at bedriften skal ansette en person de neste tre månedene. Alloker 100 poeng mellom egenskapene nedenfor, der du gir mest poeng til de egenskapene du anser som viktigst i vurderinger av søkere.

Vi ba også bedriftene se for seg at de skulle ansette en person de neste tre månedene, og ba dem rangere ulike egenskaper, der de ga mest poeng til egenskapene de anså som viktigst i vurdering av søkere. Fordelingen vises i figur 5.

N = 122, Figur (PNG), Figurdata (XLSX)

N = 1980, Figur (PNG), Figurdata (XLSX)

Figur 5. Tenk deg at bedriften skal ansette en person de neste tre månedene. Alloker 100 poeng mellom egenskapene nedenfor, der du gir mest poeng til de egenskapene du anser som viktigst i vurderinger av søkere. Hold markøren over medianen for å få flere statistiske sammendrag (kun på nettsidene).

Gjenbruk